Новости

10 октября, 2024 13:20

Сердечно-сосудистые заболевания будут выявлять по количеству крови в сосудах пальца

Биомедики предложили выявлять болезни сердечно-сосудистой системы, оценивая движение крови в пальце по ее оптическим характеристикам. В рамках предложенного подхода прибор фотоплетизмограф пропускает свет через палец и позволяет проследить наполнение сосудов кровью. Новый подход оказался более практичным, чем оценка частоты сердечных сокращений, которая используется во многих медицинских диагностических приборах. Результаты исследования, поддержанного грантом Российского научного фонда (РНФ), опубликованы в журнале Biomedicines.
Фотоплетизмограф. Источник: Антон Киселев
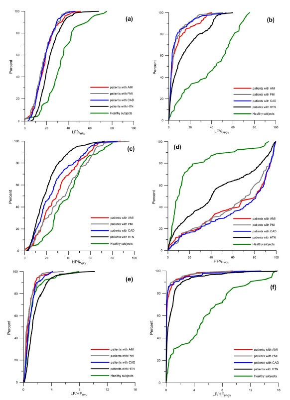
Показатели изменчивости сердечного ритма и динамики пальцевого кровенаполнения здоровых и больных людей. Источник: Kiselev et al. / Biomedicines, 2024
3 / 4
Фотоплетизмограф. Источник: Антон Киселев
Показатели изменчивости сердечного ритма и динамики пальцевого кровенаполнения здоровых и больных людей. Источник: Kiselev et al. / Biomedicines, 2024

Согласно данным ВОЗ, сердечно-сосудистые заболевания ежегодно становятся причиной около 30% смертей в мире. Диагностировать эти болезни на ранних стадиях бывает сложно, поскольку их симптомы (боль в сердце, одышка, задержка дыхания) еще слабо выражены. Обычно состояние сердечно-сосудистой системы врачи оценивают с помощью электрокардиограммы (ЭКГ), интерпретировать результаты которой должен квалифицированный врач, поскольку автоматизировать такой анализ пока еще сложно. Тем не менее, в автоматизированном режиме на основе ЭКГ можно оценить вариабельность ритма сердца. Этот анализ позволяет на самых ранних этапах выявлять различные отклонения в работе сердечно-сосудистой системы и тем самым прогнозировать риск развития ряда заболеваний. Однако вариабельность ритма сердца может быть недостаточно эффективна для массового скрининга. Поэтому ученые продолжают искать новые методы диагностики для автоматизированной оценки состояния сердечно-сосудистой системы человека.

Исследователи из Национального медицинского исследовательского центра терапии и профилактической медицины Министерства здравоохранения РФ (Москва) предложили выявлять болезни сердечно-сосудистой системы, оценивая наполняемость кровью периферических, то есть расположенных в руках и ногах, сосудов. Наблюдать за периферическим кровенаполнением позволяет фотоплетизмография — подход, при котором палец пациента помещают в фотоплетизмограф. Этот миниатюрный и портативный аппарат пропускает свет сквозь ткани и позволяет изучить сосуды и движение по ним крови, в том числе получить спектральную оценку кровенаполнения сосудов.

Врачи проанализировали 998 записей ЭКГ и пальцевых фотоплетизмограмм, полученных от 508 испытуемых в возрасте от 21 года до 76 лет, поделенных на категории в зависимости от состояния их сердечно-сосудистой системы. В первую группу вошли здоровые люди (58 человек), во вторую — пациенты с повышенным артериальным давлением (134 человека), в третью — люди с хронической ишемической болезнью сердца (92 человека), а также с острым или недавно перенесенным инфарктом миокарда (224 человека).

Авторы сопоставили у всех категорий пациентов результаты фотоплетизмографии, что позволило выявить влияние тех или иных сердечно-сосудистых нарушений на динамику периферического (в данном случае пальцевого) кровенаполнения. Оказалось, что периферическое кровенаполнение — в отличие от вариабельности ритма сердца, оцениваемого с помощью ЭКГ, — наиболее явно отличает пациентов с любым из изученных сердечно-сосудистых заболеваний от здоровых людей. Так, у больных значительно усиливалось влияние дыхания на ритмические изменения пальцевого кровенаполнения, а влияние систем регуляции артериального давления снижалось.

При этом выявленные отличия усиливались по мере увеличения тяжести сердечно-сосудистой патологии: от минимальных при повышенном артериальном давлении до максимальных при ишемической болезни сердца и инфаркте миокарда. Таким образом авторы доказали, что по фотоплетизмограммам можно определять, здоров ли человек, или у него есть изменения в периферическом кровотоке, которые указывают на риск возникновения или наличие (даже бессимптомное) сердечно-сосудистых заболеваний. Кроме того, метод решает главный недостаток ЭКГ — дает возможность отследить состояние в автоматизированном режиме, без участия врача.

«Полученные результаты открывают новые возможности для создания алгоритма автоматизированного скрининга ранних, зачастую малосиптомных стадий сердечно-сосудистых заболеваний. Такой скрининг можно реализовать в компактных диагностических устройствах (фотоплетизмографы, пульсоксиметры) и в будущем применять в ходе массовых профилактических осмотров и диспансеризации населения нашей страны», — рассказывает руководитель проекта, поддержанного грантом РНФ, Антон Киселев, доктор медицинских наук, заместитель директора по научно-технологическому развитию НМИЦ терапии и профилактической медицины.

Если вы хотите стать героем публикации и рассказать о своем исследовании, заполните форму на сайте РНФ

17 апреля, 2026
Ученые представили самую полную родословную лютиковых
Биологи представили наиболее полную на сегодняшний день эволюционную родословную растений из семейс...
17 апреля, 2026
Нейросеть Колмогорова-Арнольда по уровню стресса абонентов поможет выявлять телефонных мошенников
Исследователи обучили нейронную сеть распознавать специфические эмоции, которые характерны для люде...