«Эта удивительная ситуация может происходить, если фотоны движутся в определенных нелинейных средах, которые называют резонансными. Они обладают собственным свечением с такой же частотой, какую имеют попадающие на них фотоны. Благодаря этому колебания света поглощаются частицами среды, что приводит к передаче большого количества энергии от света материи. Одновременно возможен и обратный процесс передачи энергии от вещества свету», — рассказывает Николай Розанов, известный отечественный специалист в области лазерной физики и нелинейной оптики, член-корреспондент РАН и главный научный сотрудник ФТИ имени А. Ф. Иоффе и СПбГУ.
Авторы исследовали остановку фотонов на примере импульсов света крайне малой длительности — их могут излучать современные лазерные системы. Оказалось, что, проходя через резонансно поглощающую среду, частицы тесным образом начинают взаимодействовать с ней, формируя сильно связанные состояния возбужденной материи и света, которые можно рассматривать как некоторую новую частицу.

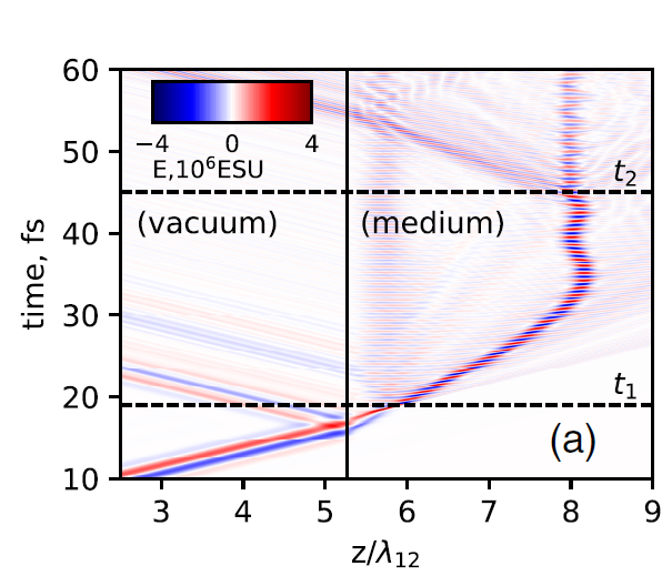
Эволюция поля короткого импульса, входящего в резонансную среду: световой импульс «останавливается» около точки с координатой z ≈ 8λ12. Здесь λ12 — длина волны резонансного перехода в среде. Источник: Arkhipov et al. / Physical Review Letters, 2022
Так, среда, обволакивая свет, создает «одетые фотоны», которые за счет такой «шубы» из вещества приобретают массу. Далее подобные образования могут вести себя по-разному: или продолжить двигаться в изначальном направлении с высокой скоростью (вплоть до скорости света), или изменить направление, или полностью остановиться. Поведение частицы зависит от ее энергетического состояния: иногда ей может быть более выгодно снизить скорость до нуля.
«Столь необычный эффект, который мы описали, пока представляет интерес с точки зрения академической науки. Световой импульс застревает в среде, не доходя до наблюдателя; в зависимости от некоторых параметров, он способен застревать на заданном расстоянии от границы среды. Это может иметь некий практический интерес: например, благодаря такому эффекту возможно нацелить свет на определенные объекты, расположенные внутри среды. Добавим, что здесь нет противоречий с фундаментальными физическими законами: речь идет о скорости движения светового импульса, в котором происходит активное поглощение света веществом и потом его испускание, а не о движении фотонов в пустом пространстве, которое всегда происходит со скоростью света», — рассказывает руководитель проекта по гранту РНФ Ростислав Архипов, кандидат физико-математических наук, ведущий научный сотрудник физического факультета СПбГУ.